浙江教师资格证笔试是按比例录取吗?
- 时间:
- 2018-12-18 14:01:28
- 作者:
- 陈老师
- 阅读:
- 来源:
- 浙江省教师资格证
【导读】浙江教师资格证笔试不是按比例录取,而是及格制,考生只要达到了合格线就算通过。浙江教师资格证笔试满分为150分,及格线是70分。

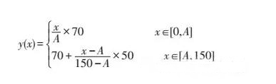
教育部考试中心根据考试标准和当次考试情况,确定各科目全国统一的合格分数线。由于各个科目难度存在差异,其合格分数线不尽相同。为统一各科目的合格分数线,采用线性转换的方法,将考生0~150分量表上的原始成绩换算为0~120分量表上的转换分,并使各科目的合格分数线统一转换为70分。
换算公式如下:

所以,大家在笔试的时候,竞争对手只有自己,只要好好复习,提升自己的能力,就能通过笔试。
教师资格证考试需要记忆的东西比较多,有的概念还比较相似,一不小心很容易混淆。既要记得住,又要准确记住,往往是大多同学头疼的地方。那么该如何全面而有效地掌握知识点呢?
这就要牢牢结合教师资格证考试大纲,理清逻辑关系,总结出一套属于自己的知识体系。这样再遇到考题的时候就知道考察哪一部分内容,知道相关的知识点都有哪些。
以上就是关于浙江教师资格证笔试的全部内容,考生如果想获得更多关于浙江教师资格证相关资讯,如教师资格证报名时间、考试时间、报考条件、面试时间以及相关知识,敬请关注我们浙江教师资格网!( http://www.zjjszg.com/)
未经授权不得转载,如需转载请注明出处。
