浙江省教师资格证笔试成绩有效期!
- 时间:
- 2023-08-07 14:41:19
- 作者:
- 陈老师
- 阅读:
- 来源:
- 浙江省教师资格证
浙江省教师资格证考试特别整理了浙江省教师资格证笔试成绩有效期为两年!那么教师资格证笔试合格线是如何划定的的?大家一起看看吧!

浙江省教师资格证笔试成绩有效期
笔试科目成绩有效期为两年。考生需在笔试科目成绩有效期内通过面试。笔试成绩过期的考生无法报名参加面试。

浙江省教师资格证笔试合格线是如何划定的?
阅卷结束后,教育部考试中心依据当次考试情况,对各科目划定考试合格线,再通过线性转换得出最终考生的报告分为统一各科目的合格分数线,采用线性转换的方法,将考生0~150分量表上的原始成绩换算为0~120分量表上的转换分,并使各科目的合格分数线统一转换为70分。也就是说教师资格证合格分数线为70分。

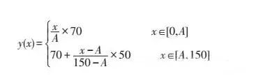
举例来说,设两个科目的合格分数线分别为 A1和 A2,则转换分 y(x) 关于原始成绩x的函数图像,如下图所示:

通过上述线性转换,各科目的合格分数线均转换为70分,且转换不改变考生成绩的高低顺序。
原始成绩低于合格分数线的考生,换算后的转换分在70分以下;原始成绩高于合格分数线的考生,换算后的转换分在70分以上。
也许很多小伙伴看不懂这个折算方式,简单的说,就是把150分数折算成120分,报告分70分及格。其实合格线的划定一方面是折算分数,另一方面是通过计算把合格率把控在一定的范围内。
以上就是关于浙江省教师资格证笔试成绩有效期!的全部内容,关注浙江省教师资格证考试网,了解更多浙江教师资格证笔试考试相关资讯,如2023下半年浙江教师资格证笔试考试可以补报吗、浙江省2023下半年教师资格笔试考试时间表、浙江教师资格证笔试成绩可以保留几年等等内容。
