教师资格证笔试多少分合格?合格分数线是多少?
- 时间:
- 2021-10-20 16:17:00
- 作者:
- 毛老师
- 阅读:
- 来源:
- 浙江省教师资格证
教师资格笔试各科目卷面满分为150分,按照我们从小到大的逻辑应该是90分就可以合格了。但为什么查询成绩时满分又是120分呢?70分合格又是怎么算出来的呢?(如下图)

是不是卷面150分按比例折合成120分,相应的实得分90分也按相同比例换算成70分呢?小编一度也这么认为,但看了下面的内容,相信你会明白原来不是这么回事。
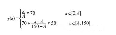
教育部考试中心根据考试标准和当次考试情况,确定各科目全国统一的合格分数线。由于各个科目难度存在差异,其合格分数线不尽相同。为统一各科目的合格分数线,采用线性转换的方法,将考生0~150分量表上的原始成绩换算为0~120分量表上的转换分,并使各科目的合格分数线统一转换为70分。


举例来说,设两个科目的合格分数线分别为 A1和 A2,则转换分 y(x) 关于原始成绩x的函数图像,如下图所示:

通过上述线性转换,各科目的合格分数线均转换为70分,且转换不改变考生成绩的高低顺序。原始成绩低于合格分数线的考生,换算后的转换分在70分以下;原始成绩高于合格分数线的考生,换算后的转换分在70分以上。
