2019下半年浙江教师资格证高中《数学学科知识与教学能力》真题及答案解析
- 时间:
- 2019-11-13 11:12:04
- 作者:
- 娄老师
- 阅读:
- 来源:
- 浙江省教师资格证
【导读】2019下半年浙江教师资格笔试已经结束了,浙江教师资格网为考生们提供2019下半年教师资格证笔试真题及答案解析。
一、单项选择题(本大题共8小题,每小题5分,共40分)

参考答案:A
参考解析:略

参考答案:A
参考解析:略
3.题目暂缺
参考答案:B
参考解析:略

参考答案:C
参考解析:略
5.设n阶方阵M的秩r(M)=r
A.任意一个行向量均可由其他r个行向量线性表示
B.任意r个行向量均可组成极大线性无关组
C.任意r个行向量均线性无关
D.必有r个行向量线性无关
参考答案:D
参考解析:略
6. 试题暂缺,参考答案C
7.下列对向量学习意义的描述:
①有助于学生体会数学与现实生活和其他学科的联系;
②有助于理解数学运算的意义和价值,发展运算能力;
③有助于掌握处理,几何问题的一种方法,体会数形结合思想;
④有助于理解数学不同内容之间存在广泛的联系.
其中正确的共有( ).
A.1条
B.2条
C.3条
D.4条
参考答案:D
参考解析:略
8.数学归纳法的推理方式属于( ).
A.归纳推理
B.演绎推理
C.类比推理
D.合情推理
参考答案:B
参考解析:略
二、简答题(本大题共5小题,每题7分,共35分)

参考解析:

(2)在该变换条件下,①不变的性质:都是中心对称图形和轴对称图形,都是在某条件下点的轨迹所形成的对称图形;②变化的性质:图形形态发生了变化,不再以原点为中心点,不再与x轴和y轴相交,图形距离中心点的距离都相等。

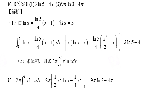
(1)求f(x)和g(x)围成的平面区域的面积.
(2)求0≤y≤f(x), 1≤x≤3,绕y轴旋转的体积.
查看答案

11.一个袋子里有8个黑球,8个白球,随机不放回连续取球5次,每次取出1个球,求最多取到3个白球的概率.
参考解析:

12.给出数学文化的内容,请举出数学课堂中两个能够应用数学文化的例子.
参考解析:
数学是一门与概念、定理、公式相关的学科,教师在数学教学中渗透数学文化、设置与教学内容相关的且蕴含在现实生活中的数学文化、引导学生思考其中所隐含的数学知识和规律,对学生的数学学习具有巨大的帮助。例如:
(1)在学习《整数和负数》时,“负数” 概念对学生来说相对抽象。教师可以在教学中渗透数学文化史:中国是最早提出负数的国家,《九章算术》 是最早、最完整介绍负数的古书,人们在求解方程时经常会遇到小数减大数的情形,为便于求解,便创造了负数;在古代为区分正负数,数学家创造了一种方法:用不同颜色的算筹来表示正、负数;中国古代不仅提出了负数的概念,还提出了整套的正、负数的运算法则,这些法则沿用至今。教师在教学中融入数学文化,让学生了解概念产生的背景和意义,利用概念与生活的相通性可以帮助学生更直观地理解概念。
(2)在教学《勾股定理》时,可以从毕达哥拉斯到朋友家做客的故事入手:毕达哥拉斯是古希腊最为著名的数学家之-,相传2500年前,他到朋友家做客,发现朋友家用地板砖铺成的地面反映出了直角三角形的三边关系。毕达哥拉斯发现直角三角形的三边关系的故事为《勾股定理》的教学提供了问题引入,学生通过思考故事中隐含的规律,从而进行猜想假设,再加上教师的演示将定理变得具体形象,学生能够更容易地总结出直角三角形的三边关系,即勾股定理。探究勾股定理相关的数学文化史的过程蕴含了丰富的数学思想方法,这对学生理解定理极为有利。
将数学文化渗透到数学教学中,将教材内容与数学文化巧妙结合起来,从数学文化中延伸出数学概念和规律,可以帮助学生理解相关内容。数学文化中蕴含的故事具有较强的趣味性,还可以激发学生的学习兴趣。
13.简述数学建模的主要过程.
参考解析:
数学建模是运用数学思想、方法和知识解决实际问题的过程。建立和求解模型的过程包括:从现实生活或具体情境中抽象出数学问题,用数学符号建立方程、不等式、函数等表示数学问题中的数量关系和变化规律,求出结果、并讨论结果的意义。具体如下:
(1)模型准备:了解问题的实际背景,明确其实际意义,掌握对象的各种信息。以数学思想来包容问题的精髓,数学思路贯穿问题的全过程,进而用数学语言来描述问题。要求符合数学理论,符合数学习惯,清晰准确。
(2)模型假设:根据实际对象的特征和建模的目的,对问题进行必要的简化,并用精确的语言提出一-些恰当的假设。
(3)模型建立:在假设的基础上,利用适当的数学具来刻划各变量常量之间的数学关系,建立相应的数学结构(尽量用简单的数学工具)。
(4)模型求解:利用获取的数据资料,对模型的所有参数做出计算(或近似计算)。
(5)模型分析:对所要建立模型的思路进行阐述,对所得的结果进行数学上的分析。
(6)模型检验:将模型分析结果与实际情形进行比较,以此来验证模型的准确性、合理性和适用性。如果模型与实际较吻合,则要对计算结果给出其实际含义,并进行解释。如果模型与实际吻合较差,则应该修改假设,再次重复建模过程。
三、解答题(本大题1题, 10分)
14.已知函数f(x)在闭区间[a,b].上连续,且f(a).f(b)<0,请用二分法证明f(x)在(a,b)内至少有一个零点。
参考解析:
证明过程见解析。

四、论述题(本大题1小题,15分)
15.有人认为目前的教学缺乏对中学生思维能力的培养,请谈一谈你的看法,并说一说在老师在教学中应该如何做。
参考解析:
现代教育观点认为,数学教学活动是数学活动的教学,即思维活动的教学。孔子说: “学而不思则罔,思而不学则殆”,养成良好的思维品质是教学改革中的一个重要课题,在数学学习中要使学生思维活跃,就要教会学生分析问题的基本方法,在如今的教育体制之下灌输式教学还是很常见,从而忽视了对学生学习思维的培养,这对于学生创新能力的培养是极其不利的,因此在教育体制改革的趋势之下,我们不仅要重视学生基本知识和基本技能的学习,更应该注重学生思维品质的培养。心理学家认为,培养学生的数学思维品质是培养和发展数学能力的突破口。思维品质包括思维的深刻性、敏捷性、灵活性、批判性和创造性,它们反映了思维的不同方面的特征,因此在教学过程中应该有不同的培养手段。
思维的深刻性既是数学的性质决定了数学教学既要以学生为基础,又要培养学生的思维深刻性。数学思维的深刻性品质的差异集中体现了学生数学能力的差异,教学中培养学生数学思维的深刻性,实际上就是培养学生的数学能力。数学教学中应当教育学生学会透过现象看本质,学会全面地思考问题,养成追根究底的习惯。
数学思维的敏捷性主要反映了正确前提下的速度问题。因此,数学教学中,一方面可以考虑训练学生的运算速度,另一方面要尽量使学生掌握数学概念、原理的本质,提高所掌握的数学知识的抽象程度。因为所掌握的知识越本质、抽象程度越高,其适应的范围就越广泛,
五、案例分析题(本大题1题, 20分)
16.在学习了“直线与圆的位置关系”后,一位教师让学生解决如下问题:

参考解析:
(1) 该同学的解法没有考虑直线L斜率不存在的情况,没有掌握数学当中分类讨论的思想和斜率的定义。正确解法①如上同学做题步骤,且过论当斜率不存在时,直线L方程为x=2符合题意;②第二种做法可以先求出切点坐标,然后再求方程,易知切点为

检索的速度也就越快。另外,运算速度不仅仅是对数学知识理解程度的差异,而且还有运算习惯以及思维概括能力的差异。因此,数学教学中,应当时刻向学生提出速度方面的要求,使学生掌握速算的要领。
为了 培养学生的思维灵活性,应当增强数学教学的变化性,为学生提供思维的广泛联想空间,使学生在面临问题时能够从多种角度进行考虑,并迅速地建立起自己的思路,真正做到举一反三”。教学实践表明,变式教学对于培养学生思维的灵活性有很大作用。
六、教学设计题(本大题1小题,30分)
17.普通高中课程标准2017版,对“导数的概念及其意义”提出的学习要求为:
①通过实例分析,经历由平均变化率过渡到瞬时变化率的过程,了解导数概念的实际背景,知道导数是关于瞬时变化率的数学表达,体会导数的内涵与思想。
②体会极限思想。
③通过函数图象直观理解导数的几何意义。
针对导数的概念及其意义以达到①,完成教学设计。
(1)设计教学重点(6分)。
(2)教学过程(导入、概念形成与巩固),并写出设计意图(24分)。
参考解析:
(1)教学重点:深刻理解在一点处导数的概念,能准确表达其定义;注意



[设计意图]教学中遵循“学生为主体,教师为主导,训练为主线,发展思维为主旨”的“四主原则”。以恰当的系列活动为纽带,给学生创设自主探究、合作交流的时间与空间,引导学生经历数学知识再发现的过程,让学生在参与中获取知识,发展思维,感悟数学。

③巩固概念:利用导数定义求是数的几个例子
[设计意图]加深学生对导数内涵的理解,熟练应用导数的概念进行运算,提炼求导步骤由特殊到一般,完成思维的飞跃。通过具体例题的分析,加深学生对导数内涵的理解,体验数学在实际生活中的应用。
